¿Cuánta energía produce un panel solar al día? ¿Y al año? Si estás planteándote pasarte a la energía solar quizás te hayas hecho estas preguntas. Así que, si quieres despejar todas tus dudas en cuanto a la generación de energía fotovoltaica, quédate, porque en este artículo te las resolvemos.
Calculando la energía de un panel de 100W
La producción de energía solar de un panel dependerá de diversos factores, como su potencia, el rendimiento del sistema fotovoltaico y el número de horas solares pico.
– Potencia (W): es la capacidad instantánea que tiene un panel de generar energía.
– Rendimiento del sistema: es el porcentaje de energía solar que se entrega finalmente a la red. Es decir, durante el proceso de obtención de energía solar hay pérdidas por sombras, orientación, temperatura, eficiencia del inversor, etc. El rendimiento del sistema nos revela la producción de energía solar que podemos disfrutar sin esas pérdidas. En general, una vez descontadas las pérdidas, se estima que el rendimiento es del 0,8.
– Nº horas solares pico: es la cantidad de horas que se produce energía fotovoltaica. Este dato varía en función de la ubicación geográfica, podrás conocer el de tu zona aquí, una vez seleccionado en el mapa.
En el caso de Murcia, la producción fotovoltaica anual es de 1.861,86 kWh, traduciéndose en 5,10 horas solares pico al día.

Entonces, ¿un panel solar de 100 W cuánta energía produce? Con los datos que hemos mencionado anteriormente podemos completar la fórmula:
Potencia del panel | Rendimiento del sistema | Nº horas solares pico |
|---|---|---|
100W | 0,8 | 5,10 |

Este resultado nos muestra cuánta energía produce un panel solar al día de 100 W. Dada esta potencia, la producción de energía fotovoltaica es mínima, solo podría cubrirse el consumo energético de pequeños dispositivos como el cargador del móvil, un ventilador pequeño o el router del WiFi y durante unas pocas horas.
Si queremos saber cuánta energía produce un panel solar al año de 100W, solo habría que multiplicar los kWh por los 365 días del año.
Calculando la energía de un panel de 250W
La fórmula que hemos utilizado antes para calcular la energía de una placa de 100W, también nos sirve para conocer cuánta energía produce un panel solar de 250W.
Haz tu Factura 0€ con Placas Solares y Batería Virtual
Ver precios
Como la potencia es algo mayor que en el caso anterior podremos cubrir el consumo energético de la televisión e iluminación del hogar.
Para saber cuánta energía produce un panel solar de 250W al año hay que multiplicar los kWh por 365 días.
Producción anual de energía solar
Como hemos visto en los anteriores ejemplos, la producción de energía solar depende de la potencia del panel solar que instalemos, las horas solares pico y el rendimiento del sistema.
Para conocer la producción anual de energía solar que podemos obtener de una instalación vamos a poner como dato de potencia 500W, que es el tipo de panel que mayoritariamente instalamos en Voltiva Energy. En cuanto a las horas solares pico, seguiremos utilizando el dato de 5,10, que es el número de horas solares pico para la zona de Murcia. Por último, el rendimiento lo seguiremos manteniendo en 0,8, ya que de media las pérdidas suelen rondar el 0,2.
Potencia del panel | Rendimiento del sistema | Nº horas solares pico |
|---|---|---|
500W | 0,8 | 5,10 |
A la fórmula que ya conoces hay añadir el nº de paneles solares de la instalación, quedando de la siguiente forma:

En cuanto al número de módulos fotovoltaicos, una vivienda unifamiliar con un consumo medio-bajo necesita unos 4 kWp que son unas 8 placas solares. Este es el número que aplicaremos a la fórmula.
Con esta producción fotovoltaica diaria se pueden cubrir una variedad de consumos energéticos de electrodomésticos en un hogar, como el frigorífico, poner una lavadora, secadora y lavavajillas, y el aire acondicionado, entre otros equipos.
En cuanto a la producción anual de energía solar, solo debemos multiplicar los kWh por los 365 días del año.
Potencia de paneles solares por metro cuadrado
La potencia de los paneles solares es un dato que, por lo general, suele estar bastante claro en la ficha técnica del producto. Esta se calcula mediante 3 variables:
– Irradiancia: es la radiación que incide en un instante sobre una superficie.
– Dimensiones del módulo: se obtiene multiplicando el ancho por el alto.
– Eficiencia: es la capacidad de convertir la luz solar en electricidad.
La fórmula que debemos completar para saber la potencia de un panel solar es:
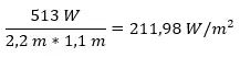
Para nuestro ejemplo, hemos cogido los siguientes datos de una ficha técnica de un panel solar marca Trina Solar.
Irradiancia | Dimensiones | Eficiencia |
|---|---|---|
1.000 W/m2. | 2,2 m * 1,1 m | 21,2% |
Por tanto, para un panel con esas dimensiones obtendríamos una potencia de 513W.
Para obtener la potencia de ese panel por metro cuadrado solo tenemos que hacer la siguiente división:


Cuánta energía produce un panel solar por metro cuadrado
En el caso de que queramos saber cuánta energía produce un panel solar por metro cuadrado, primero tendremos que saber cuál es la potencia por metro cuadrado de una placa solar.
Si has estado leyendo el artículo no creo que te sorprenda el cálculo:
Qué elementos pueden influir en la energía generada
Como hemos comentado durante el artículo, uno de los factores que determina la energía generada es la potencia del panel, pero además de ese hay otros factores.
Factores controlables que influyen en la producción fotovoltaica
Son aquellos que la empresa instaladora puede controlar. Por ello, es importante dejar en manos de una empresa experta en fotovoltaica tu instalación, para que saque su máximo rendimiento.
– Orientación e inclinación de las placas solares: la orientación está determinada por el hemisferio, disponibilidad de espacio y sombras, y la inclinación depende de la latitud de la ubicación geográfica del sistema fotovoltaico.
– Eficiencia del panel: es la cantidad de energía que un panel solar puede convertir en electricidad, dependiendo del tipo de panel. En general, la eficiencia oscila entre el 15% y 23%, siendo los monocristalinos los más eficientes.
– Tipo de inversor: algunos inversores de última generación pueden alcanzar eficiencias de hasta el 98% o más, es decir, convierten casi toda la energía solar de corriente continua (CC) en corriente alterna (CA) utilizable, casi sin pérdidas.
– Mantenimiento de la instalación: la visita anual de un técnico para comprobar que no haya daños en la instalación y una limpieza periódica de las placas hará que no se reduzca el rendimiento de la instalación fotovoltaica.
Como empresa experta en fotovoltaica, tenemos en cuenta todas las variables mencionadas anteriormente, estudiamos tu instalación fotovoltaica diseñándola con la correcta orientación e inclinación, instalamos los materiales más eficientes para sacar el máximo partido a la energía solar y cuidamos de tu instalación periódicamente, para que siempre esté al máximo rendimiento.
Variables no controlables que afectan a la producción de energía
Son aquellas que no están en manos de la empresa instaladora, básicamente están relacionadas con el clima.
– Cantidad de luz solar: cuanta más luz reciban, mayor será la cantidad de energía eléctrica que puedan generar.
– Radiación solar: es la medida física de la energía que emite el Sol en forma de ondas electromagnéticas.
– Nubes, lluvia o nieve: estos fenómenos atmosféricos pueden cubrir los paneles solares y reducir la generación de energía.
– Temperatura: a mayor temperatura la eficiencia del panel solar disminuye ligeramente, la mayoría de los módulos solares están diseñados para funcionar correctamente a una temperatura de 25ºC. En Voltiva Energy, instalamos placas solares que soportan temperaturas más extremas, para que en verano no disminuya apenas la eficiencia.
Cómo calcular cuánta energía produce un panel solar, de forma bastante aproximada, no es una tarea complicada una vez recopilados todos los datos.
Si tienes alguna consulta en cuanto a la instalación de paneles solares en tu tejado, puedes contactar con nosotros, te asesoraremos en todo lo que haga falta.


